喜报 | 太极藿香正气口服液治疗特应性皮炎临床研究(CHARM)成果荣登国际权威期刊
2025/09/24
特应性皮炎又称特应性湿疹,是一种常见的慢性、复发性、炎症性皮肤疾病。它以剧烈瘙痒和湿疹样病变为主要特征,是最常见的炎症性皮肤病之一。
近日,太极藿香正气口服液治疗特应性皮炎(AD)的多中心、随机、双盲、对照临床研究(CHARM)取得重大突破,论文发表于国际权威期刊《Phytomedicine》(IF: 6.7)。
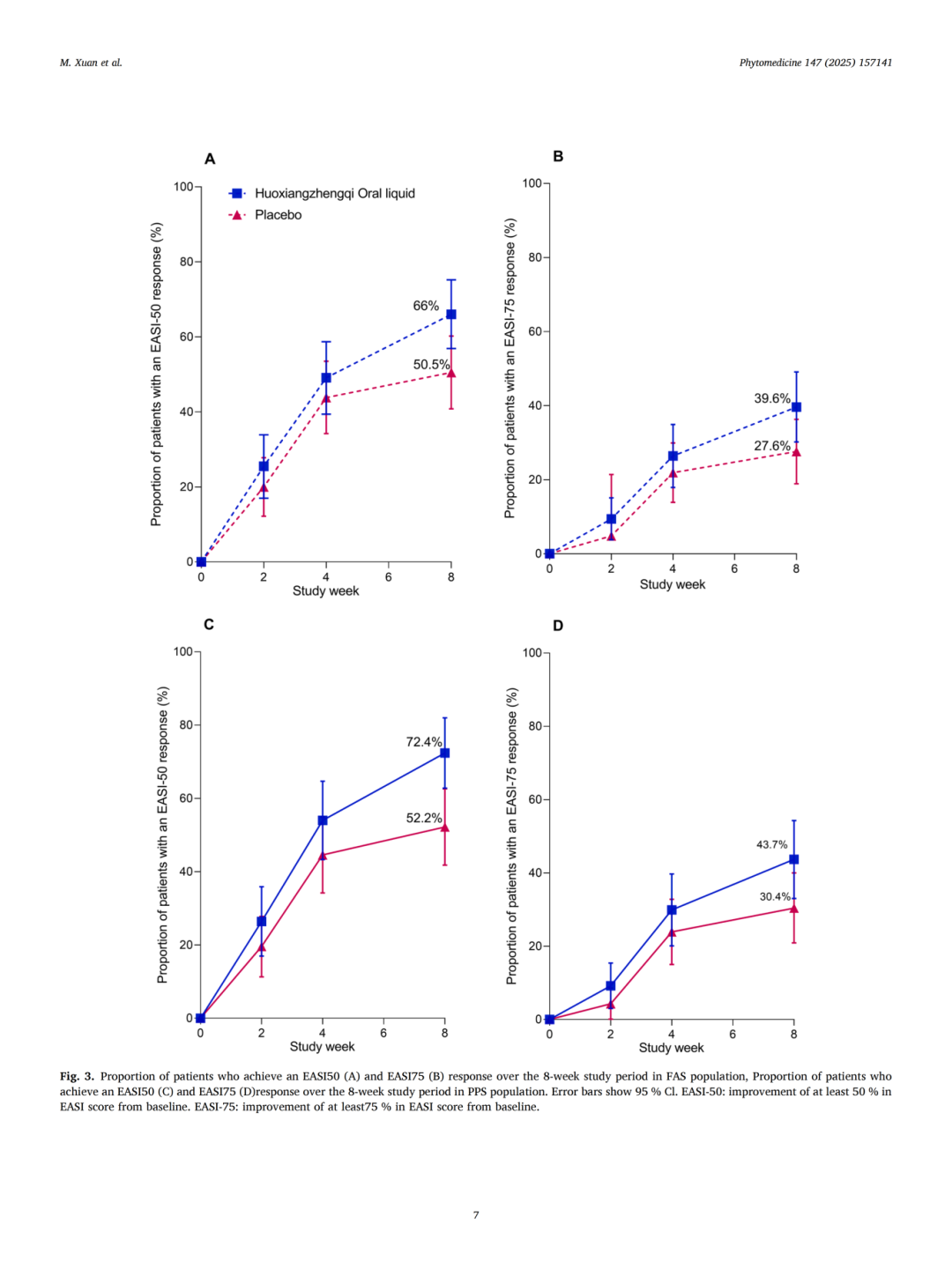
该研究表明:太极藿香正气口服液治疗4周后,患者湿疹面积与严重程度指数(EASI)显著降低(p=0.033);治疗8周后,66%患者的EASI评分改善率达50%,疗效确切且安全性良好。
本研究为首个证实太极藿香正气口服液治疗皮肤疾病疗效显著的高质量临床研究,为中医药治疗特应性皮炎提供了高级别循证证据,标志着太极藿香正气口服液在拓展新适应症领域取得重大突破。
向左滑动查看全文











